ACME Run
McMaster University — December 2023
My Role
Architect — Project planning, architecture, requirements engineering.
Team
Monica Bazina-Grolinger, Architect
Kate Min, Architect
Timeline & Status
3 months, Completed December 2023
Overview
ACME Run aims to address the unmet need for an engaging fitness solution in North America. It combines gamified workouts with curated running trails and heart rate monitoring to create a dynamic fitness experience, while fostering community engagement and user safety through local partnerships like McMaster.
Technologies
Highlights
Requirements engineering for a dynamic fitness solution.
Project ReportPDF
This project is not publicly available.
Feel free to reach out for more information.
A need for a dynamic fitness solution.
Reimagining fitness in North America
ACME Run aims to address the unmet need for an engaging fitness solution in North America. The platform combines gamified workouts with curated running trails and heart rate monitoring to create a dynamic fitness experience.
Making fitness more accessible.
Creating a dynamic and enjoyable fitness experience for all
ACME RUN is a gamified fitness app offering personalized workouts through curated trails and heart rate monitoring, aiming to make fitness more accessible, enjoyable, and community-focused.
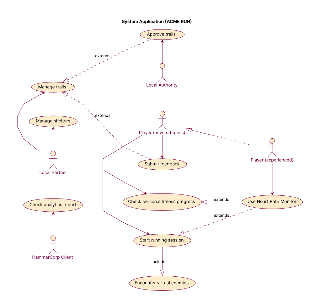
High Level Use Case Diagramimage
Domain in focus.
Understanding the fitness ecosystem and user needs
Defining the components, constraints, assumptions, effects, and invariants of the ACME Run domain to understand the fitness ecosystem and user needs.
Domain Modelimage
Constructing the architecture.
The components required to create a dynamic fitness solution
Illustrating the components, functionality, interfaces, usage scenarios, and prioritization of the ACME Run system.
Components Modelimage
API Diagramimage
Activity Update Diagramimage
Activity Run Diagramimage
A learning experience in requirements engineering.
The importance and impact of requirements engineering
ACME Run was a valuable learning experience in requirements engineering. The project required a deep understanding of user needs and system requirements to create a successful fitness solution.